产品介绍 灌装系统AbioFill V100是自动化灌装设备,用于冻存管的自动快速开盖、灌注、封盖,最大限度地减少样品暴露于冷冻保护剂的时间,同时防止手动重复操作任务带来的污染风险,广泛应用于创建质量、一致性更好的细胞库、菌株库、质粒库和生物制品制剂的自动化灌装。 主要特点与优势
细胞灌装流程
一次性无菌灌装耗材,避免交叉污染采用一次性的无菌灌装耗材,可以避免出现交叉污染。该灌装管组件是通过辐照灭菌的双层无菌袋包装的。灌装管左侧可以连接摇管、摇瓶、无菌的Wave袋等,使用灵活。
操作简单,固定支架即可完成安装
快速、温和的自动化灌装流程,结果一致性好与传统人工手动操作对比,自动化灌装系统可以更简单、快速地完成细胞库的分装,30min即可轻松分装~1000支冻存管。
在灌装范围内分别设置灌装体积为500 μL、1000 μL、4000 μL的24个冻存管,其体积精度误差<5%;
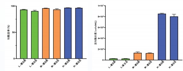
将高中低3种不同浓度的细胞灌装到24个冻存管,细胞活率偏差<2%,活细胞浓度偏差<5%。 AbioFill V100灌装系统一致性好,更有利于建立更高质量、一致性的细胞库。
将浓度为1.15E6 cells/mL的MSC细胞灌装24支冻存管中,灌装后使用程序降温仪在-80℃冻存,冻存24h后复苏。 结果显示灌注后的细胞活率几乎没有下降,复苏后细胞活率降低3%左右,在接受范围。AbioFill V100灌装系统可以更温和、高效的灌装脆弱的MSC,可以促进细胞治疗行业的良好发展。
高清触摸显示屏,软件操作简便直观,参数设置简洁灵活▪ 定制化灌注型号:根据冻存管型号选择相应旋转头、支架和托架的型号。 ▪ 多种灌注模式可供选择: •“开盖-灌注-封盖”模式 •“仅灌注”模式 •“仅开盖”模式 •“仅封盖”模式 ▪ 灌注流速:灌装快速,可选择350-800 μL/s,30 min可完成灌装~1000支冻存管。 ▪ 灌注容量:分装体积范围为250 μL-5 mL,一致性好。 ▪ 灌注列数:可按照顺序装入4的整倍数(4、8、12、16、20、24瓶)冻存管数量,设置1、2、3、4、5、6列。 ▪ 累计数量、累计容量:软件实时跟踪灌注冻存管的数量和总容量。
审计追踪,用户管理符合GMP要求,具有审计追踪、多级权限管理功能:• 账号密码登录• 多级用户管理• 审计追踪 紫外消毒可选配定制紫外消毒灯,通过软件控制紫外消毒灯对灌装模块和冻存管安装模块消毒。
冻存管选择灵活,相关配件可个性化定制▪ 灌装容量范围:250 μL-5 mL ▪ 安装冻存管需搭配相应冻存管托架、支架和旋转头,更多品牌冻存管配件可定制。
应用领域高产、稳定的三级细胞株建库的灌装三级细胞库的建立可为生物制品的生产提供检定合格、质量相同、能持续稳定传代的细胞,灌装设备AbioFill V100 可通过自动化操作,轻松实现大批量细胞灌装。
三级菌株库与cGMP级别的质粒库/病毒载体库的灌装质粒是细胞、基因和疫苗治疗的重要工具,建立稳定的三级菌株库对于质粒的生产至关重要。在基因与细胞治疗领域,目前大都采用瞬转技术,需要大量的GMP级别的质粒;在治疗性药物、疫苗等研究中,质粒可以作为终产品注入人体内,进行目标基因的表达。AbioFill V100可以实现三级菌株库和质粒库高效的无菌灌装。
生物制剂的冻存管灌装,如细胞因子、病毒液等生物制剂因具有生物活性所以在保存中有严格的温度要求,因此灌装环节尤为重要。制剂通常采用体积较小、与使用剂量匹配的冻存容器,如不同规格的冻存管等。 |
相关产品
|


















